关于东峻

联系我们

  • 021-52385879

  • market@eastfdtd.com

  • 官方微信

  • 首页 >
  • 关于东峻 >
  • 公司动态
等离子天线罩隐身仿真案例


上海东峻
EastWave
【天线罩篇】


等离子体隐身技术是一种主动反雷达隐身技术,通过等离子体对电磁波的反射、吸收等机制,降低雷达的探测几率,并通过控制等离子体参数(如等离子体频率、碰撞频率等)来满足特定要求来规避不同频段电磁波的探测,具有不影响防护目标的结构外形、参数可调可控,维护相对简便且成本低廉等优点。等离子体可通过气体放电得到,且通过控制放电功率调节等离子体浓度,从而灵活控制隐身性能。


01
等离子体隐身原理

640.jpg

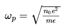
等离子体角频率

60.jpg(单位:rad/s)

40.jpg电子体密度  e电子电荷  m电子质量  ε介电常数


等离子体折射率

0.jpg

上式ω为外来电磁波频率

(1)当 ω <  p0.jpg ,折射率为纯虚数,电磁波不能在等离子体中传播。即p0.jpg为等离子体频率为截止频率。

(2)当 ω > p0.jpg ,折射率小于1,从空气入射到等离子体表面,当入射角640.p0.jpg,出现全发射现象。


由于飞行器外形一般多为流线形,电磁波从正前方附近入射时,入射角都比较大,低于截止频率的电磁波不能进入等离子介质,在罩子表面发生大角度反射,从而大幅度减少RCS,而高于截止频率的一部分电磁波由于入射角大于临界入射角,在罩壁位置发生全反射,仅在头部位置附近可以进入小部分能量。依然具有较好的隐身效果。


02
仿真设置

1、等离子罩天线罩

  • 天线罩模型:球形鼻锥,352mm×352mm×600mm

  • 半锥角:15°

  • 罩壁厚度:20mm

  • 底部金属板:直径300mm

640.webpp0.jpg

2、等离子材料

等离子体设定为稀薄理想等离子体,粒子碰撞频率约等于0(忽略损耗),等离子体密度为640.webpssp0.jpg根据等离子体频率公式,得出等离子体频率为6.34GHz。

等离子仿真需要选择洛伦兹材料,fp设置为6.34

640.weaaaabpp0.jpg

  • 材料单位:微波工程单位

  • fa:阵子谐振频率,这里设为0

  • fc:阻尼频率,这里忽略损耗,设为0

  • fp:等离子体频率,这里设置为6.34,表示6.34GHz。

3、入射波参数设置

  • 仿真频率:3-15GHz

  • 平面波入射方向:沿顶头入射

03
仿真结果

RCS扫频曲线

640.webpfffp0.jpg

RCS对比曲线

等离子体罩对于强散射源起到很好的屏蔽效果,RCS降低达30个dB。


机理分析

640.webpgggg0.jpg

近场分布

小于6.34GHz的电磁波不能在等离子体中传播,因此罩子内部场很小。

大于6.34GHz的电磁波由于罩壁表面的入射角大于全反射角,因此在罩壁表面发生全发射。

比如15GHz的临界入射角为65°,正前方入射到罩壁,对应的平板入射角θ=75°,θ > 640.wjjjebpp0.jpg,因此壁位置发生全反射,仅头部位置可以进入小部分能量。仅在头部附近可以进入罩体内部,也能起到很好的隐身效果。



END

5cf6486e7c9ee0116e5faefced768aa5_640_wx_fmt=jpeg&wxfrom=5&wx_lazy=1&wx_co=1.jpg

上海东峻信息科技

扫码关注我们
获取更多资讯